来源:招商证券策略研究
展望6月,市场可能会呈现指数震荡蓄力,大盘、质量类指数相对占优的格局。当前经济基本面较为稳定,外部变化导致的出口下滑尚未发生,内需政策仍在蓄力。企业融资需求低迷、资本开支维持下行趋势,基于现金流、ROE等盈利质量的策略有望开始持续占优。从资金面看,量化资金即将面对新规约束,预计活跃度会有所下降,而当前个人投资者增量资金有限,并且小微盘风格集中度来到高位。目前监管环境、资金环境对偏贵的中小风格相对不利。总体来看,宽基指数在六月偏震荡的概率较大,而基本面、流动性和监管环境更加有利于权重、质量类风格的表现。
核心观点
⚑大势研判和核心逻辑:展望6月,市场可能会呈现指数震荡蓄力,大盘、质量类指数相对占优的格局。从目前基本面的趋势来看,基本维持较为稳定的状态,外部环境变化导致的出口下滑仍未发生,内需政策仍处在蓄力的状态,可能随时推出一些增量政策。市场担心的地产销量依然保持弱稳定。上游低通胀压力加剧,中下游需求相对稳定。总体来看,企业盈利预期仍将保持平稳。制造业融资需求仍然低迷,企业资本开支维持下行趋势。基于现金流、ROE等盈利质量的策略有望开始持续占优。6月逐渐进入对半年报的预期阶段,业绩将会逐渐纳入考量因素。7月7日程序化交易新规将会实施,6月是程序化交易最后合规调整的时间窗口,预计交易活跃度将会有所下降。融资余额流入有限,个人投资者增量资金有限,而目前小微风格的交易集中度再度来到历史高位。目前监管环境、资金环境对偏贵的中小风格相对不利。外部因素方面,关税谈判会时不时对市场产生扰动,但是对A股的影响逐渐衰竭。外部流动性层面,6月需关注美债到期高峰可能会对美元指数、美债收益率的影响对A股的间接影响。总体来看,宽基指数在六月偏震荡的概率较大。而基本面、流动性和监管环境更加有利于权重、质量类风格的表现。
⚑风格与行业配置思路:风格方面,我们认为6月市场风格可能整体偏大盘风格为主,成长价值或相对均衡。具体原因:1)日历效应6月大盘成长占优;2)外部流动性方面美债、关税存在不确定性;3)量化新规即将实施;4)资金层面短期活跃资金增量有限,小盘股减持规模较高。行业选择层面,展望6月份,外部关税仍面临不确定性,对国内经济增长带来压力;有待更多政策端的支持实现内部的稳健增长。行业配置预计主要围绕国内自身发展阶段展开,围绕传统产能出清、新消费崛起、以及行业景气度较高的领域布局。结合中观景气、盈利能力、筹码分布、估值、交易、周期阶段和赛道价值等多个维度,本期推荐关注汽车、有色金属(小金属、贵金属)、国防军工、商贸零售、美容护理、化学制药等。
⚑流动性与资金供需:6月增量资金或有望温和净流入,各类资金或相对均衡。5月央行降准降息落地,MLF加量续作,资金利率低位波动,资金面整体宽松,展望6月随着关税对经济的影响逐渐显现,资金面有望维持宽松。关税对美国通胀的影响在4月的数据中仍不明显,市场对美联储降息预期整体降温,全年降息预期收敛至1-2次,首次降息时点推迟至9月。5月股票市场可跟踪资金紧平衡,各类增量资金相对均衡。资金供给端,新发偏股基金规模有所收窄;市场冲高回落,ETF转为净赎回;市场风险偏好有所改善,但融资资金仅小幅净流入。资金需求端,重要股东净减持规模扩大;IPO发行规模小幅回升,再融资规模回落,资金需求规模低位回升。展望2025年6月,二级市场可跟踪资金有望温和净流入,结构上融资增量有限,产业资本减持延续,ETF继续结构性流入。
⚑中观景气和行业推荐:关注盈利与景气改善线索。盈利方面,4月工业企业盈利同比增幅扩大至3.0%,费用下行带来利润率边际改善。三个月滚动来看,大类板块盈利多数正增,资源品、TMT、必需消费、中游设备均有改善,细分领域中钢铁、农副食品、运输设备、TMT制造业等增速领先。结合上市公司最新一致盈利预测来看,预计6月企业盈利增速较高或有改善的行业集中在有色、钢铁、农副食品、TMT等领域。景气方面,5月份景气较高的领域主要集中在部分中游制造、消费服务和信息技术领域,其中资源品板块贵金属价格持续上涨,中游制造领域汽车产销稳健增长,消费服务板块空冰洗彩零售额四周滚动均值同比上行,金融地产中商品房销售累计同比降幅扩大,公用事业燃气价格下行。综合盈利、行业景气和交易等维度,6月份外部关税仍面临不确定性,对国内经济增长带来压力;有待更多政策端的支持实现内部的稳健增长,行业配置预计主要围绕国内自身发展阶段展开,重点传统产能出清、新消费崛起、以及行业景气度较高的领域布局,行业推荐重点关注:汽车、有色金属、国防军工、商贸零售、美容护理、化学制药等。
⚑赛道及产业趋势投资:谷歌AI生态全面升级,AI搜索与AI Ultra齐头并进。在5月21日谷歌举行的2025年度I/O开发者大会上,谷歌宣布了各领域多项突破。AI方面,推出AI全家桶——Google AI Ultra,整合谷歌目前最好的模型,帮助影视、金融、医疗等人员通过AI提升工作效率节省时间,此外,谷歌还发布了最新一代AI视频生成工具Veo 3、图像生成工具Imagen 4、整合至Gemini、Workspace等多个平台中的电影质感的视频创作工具Flow、音乐生成模型Lyria 2也开放给YouTube Shorts创作者与企业用户使用。AR方面,谷歌与中国AR眼镜企业XREAL合作发布眼镜产品,国内的相关产业链,立讯精密、龙旗科技等企业将提供相应支持。谷歌还宣布对其核心搜索业务进行重大调整,推出名为“AI Mode”的搜索新功能,将AI对话式回答整合进搜索结果页面,为用户提供不再依赖传统链接的互动式搜索体验,应对即将可能到来的有关搜索变革的挑战。
⚑5月重要政策梳理:据不完全统计,5月重要政策约138个。具体来看,1)总量政策方面,促消费政策密集发布,围绕新型消费、养老消费、服务消费等领域。2)资本市场方面,金融支持科技创新政策频发,5月7日,国务院新闻办公室举行新闻发布会,表示将发布新修订的上市公司重大资产重组的监管措施,同时大力发展科技创新债,发布《推动公募基金高质量发展行动方案》推动中长期资金入市。3)产业政策方面,5月整治内卷再出新进展,市场监管总局和国家发改委重磅发声,立破并举整治行业内卷式竞争。
⚑ 风险提示:经济数据不及预期,政策理解不全面,海外政策超预期收紧。
01
2025年5月简明复盘与2025年6月核心观点
1、5月简明复盘——指数上行,科技为先
在上个月的月度观点报告中,我们写道“总的来看,市场在五月有望呈现“权重指数回升,科技成长活跃”的格局,风格方面,偏科技、中小风格有望重新回归。我们建议重点关注:计算机、汽车、机械设备(自动化设备、通用设备)、有色金属、社会服务、农林牧渔等。
实际情况来看,5月市场走势与我们所描述的较为接近,中小风格回归与我们的判断类似,但是科技风格表现不佳。市场在5月中上旬,在美国对华关税阶段性缓和,在业绩真空期等因素的推动下,指数出现了较为明显的反弹。此后,由于接近前期市场的阻力位,且缺少进一步推动市场上行力量的背景下,市场对于经济数据下行,美国对华关税反复等因素扰动下,市场又出现了一定的调整。
最终5月多数指数录得了一定涨幅。其中,上证指数上涨2.1%,沪深300上涨1.8%,WIND全A指数上涨2.4%,科创50指数下跌3.5%。风格指数方面,质量类、红利类和小微盘表现相对较好,北证50上涨5.8%,300质量上涨4.2%,中证指数涨4.1%。质量类指数和小微盘类指数表现不错,分别体现了机构投资者在业绩披露期结束后,发现上市公司整理盈利能力改善,盈利质量改善,开始布局质量类股票;而另外一方面,当前经济平稳,缺乏明确产业趋势,个人投资者仍然围绕一些主题性的机会和风向进行小微盘风格的投资。

行业表现方面,我们在5月月报的推荐中提到“展望5月份,年报和一季报业绩落地,叠加关税冲击逐渐减弱,市场风险偏好有望边际改善。行业方面预计主要围绕关税影响趋缓和景气改善的线索展开。推荐围绕关税冲击超跌修复和自主可控领域,以及局部景气回升领域布局。结合前期表现、估值、交易活跃度、景气变化、政策和事件催化,我们建议重点关注:计算机、汽车、机械设备(自动化设备、通用设备)、有色金属、社会服务、农林牧渔等”
最终5月的行业表现围绕关税缓和后抢出口,印巴军事冲突后中国军贸热度升温、新消费、低估值银行继续上行这几条主线相对占优。

2、6月核心观点——震荡蓄力,权重占优
展望6月,市场可能会呈现指数震荡蓄力,大盘、质量类指数相对占优的格局。从目前基本面的趋势来看,基本维持较为稳定的状态,外部环境变化导致的出口下滑仍未发生,内需政策仍处在蓄力的状态,可能随时推出一些增量政策。市场担心的地产销量依然保持弱稳定。上游低通胀压力加剧,中下游需求相对稳定。总体来看,企业盈利预期仍将保持平稳。制造业融资需求仍然低迷,企业资本开支维持下行趋势。基于现金流、ROE等盈利质量的策略有望开始持续占优。6月逐渐进入对半年报的预期阶段,业绩将会逐渐纳入考量因素。7月7日程序化交易新规将会实施,6月是程序化交易最后合规调整的时间窗口,预计交易活跃度将会有所下降。融资余额流入有限,个人投资者增量资金有限,而目前小微风格的交易集中度再度来到历史高位。目前监管环境、资金环境对偏贵的中小风格相对不利。外部因素方面,关税谈判会时不时对市场产生扰动,但是对A股的影响逐渐衰竭。外部流动性层面,6月需关注美债到期高峰可能会对美元指数、美债收益率的影响,以及对A股的间接影响。总体来看,宽基指数在六月偏震荡的概率较大。而基本面、流动性和监管环境更加有利于权重、质量类风格的表现。
当前,消费需求稳定、政府开支稳定,出口尚未被外部因素影响,市场最担心的地产销量五月仍相对弱稳定,在这样的环境下总需求增速依然保持4%左右的稳定。但目前投资端面临较大的压力,地产新开工、制造业投资需求均保持下行趋势,基建投资需求尚未释放,国内定价大宗商品大幅下跌,上游低通胀加剧,中下游成本端有所改善,期待六月有更多支持投资端的政策出台。预计二季度企业盈利仍然在低基数下保持稳定正增长。企业资本开支预计进一步下行,自由现金流改善趋势未变,四月开始,质量类指数似乎已经出现了超额收益的中期拐点。六月继续关注以沪深300质量成长为代表的质量类指数。
2025陆家嘴论坛将于2025年6月18日至19日召开,论坛主题为“全球经济变局中的金融开放合作与高质量发展”。中国人民银行、国家金融监督管理总局、中国证监会、国家外汇管理局和上海市人民政府的领导将在论坛上发表演讲。论坛期间,中央金融管理部门还将发布若干重大金融政策。6月之后,出口可能会面临更大的下行压力,同时也可能会面临关税谈判中的波折。本次会议发布若干重大金融政策可能与稳定经济预期和市场预期有关。
从目前增量资金的角度来看,无论是ETF还是融资余额,流入都相对放缓。在市场未形成突破式上行之前,个人投资者进入市场的动力不足,险资目前来看仍然是增持A股的主力。而在量化基金监管方面,《程序化交易管理实施细则》将于7月7日实施,程序化和高频交易进入最后的过渡期,程序化交易调整技术系统进入最后阶段。由于量化产品此前对全市场交易贡献较大,尤其是对中小股票的流动性贡献较大。因此,在临近《程序化交易管理实施细则》正式实施之前,需要关注由于交易换手降低导致的情绪退潮对中小股票的影响。《推动公募基金高质量发展行动方案》和浮动费率产品的发行,使得主动基金的业绩比较基准受到更大的关注。6月底主动公募的持仓会在随后的二季度报告和半年报披露十大重仓和全部持仓,考虑到相对基准的偏离度问题,部分主动公募可能会将持仓向基准更加靠拢。这些因素综合作用,都会使得风格会偏向大盘质量类的风格标的。
海外流动性方面,市场对美债问题持续担忧,日债也成为市场新的关注点。需关注美债、日债的危机和担忧对美元指数、美债收益率的影响对A股的间接影响。
中美关税谈判目前仍悬而未决,尽管美国国内对于特朗普政府征收关税有诸多掣肘,但是特朗普政府仍将关税作为非常重要的经贸议题,对欧、对华的关税扰动仍然持续影响市场风险偏好。但是,我们认为,由于美国货币政策宽松的掣肘就在通胀,而关税提高势必推高通胀,使得特朗普政府最终征收高关税不现实。如果有限提高关税,最终会被供应链化解。预计未来关税扰动对A股的影响将会逐渐边际递减。
风格层面,我们认为6月市场风格可能整体偏大盘风格为主,成长价值或相对均衡。具体原因:1)日历效应6月大盘成长占优;2)外部流动性方面美债、关税存在不确定性;3)量化新规即将实施;4)资金层面短期活跃资金增量有限,小盘股减持规模较高。
行业层面展望6月份,外部关税仍面临不确定性,对国内经济增长带来压力;有待更多政策端的支持实现内部的稳健增长,行业配置预计主要围绕国内自身发展阶段展开,重点关注产能出清拐点和新消费的崛起。产能出清角度,本轮产能扩张自2021年中期开始,非金融上市企业在建工程2023Q3以来A股非金融上市公司在建工程同比增速趋势放缓,目前处于近十年34.1%分位。我们综合企业亏损占比和行业集中度较高、总资产周转率、资本开支以及投资现金流等处于较低水平的行业,有望较快迎来产能出清的拐点,典型的如半导体、煤炭、水泥、装修建材、家居用品、纺织服饰、酒店餐饮、航空装备、装修装饰、专用设备、电池、化学制药等领域。新消费方面,一方面,自上而下,在外部面临较大不确定性和内部政策的支撑下,消费领域有望贡献更多增量;另一方面,自下而上,随着Z世代的崛起,个性化消费、悦己消费更受青睐;此外综合渗透率、供需约束等角度,重点推荐关注谷子经济、医美、量贩零食、智能家居家电等领域。综合以上,行业配置方面重点围绕传统产能出清、新消费崛起、以及行业景气度较高的领域布局,行业推荐重点关注:汽车、有色金属、国防军工、商贸零售、美容护理、化学制药等。
赛道选择层面,6月重点关注五大具备边际改善的赛道:AI应用、自主可控、新消费、贵金属、创新药。
3、6月核心关注点——中美关税谈判最新进展,新技术趋势,汇率及外资动向
(1)中美关税谈判进展
尽管我们认为美国对华征收高关税并不现实,但是特朗普在6月仍将会把对华威胁征收关税作为极限施压的手段,任何关于关税最新的消息都会短期影响A股的风险偏好,但是我们预计这种影响将会逐渐收敛。
(2)陆家嘴金融论坛的政策
目前,中国的重磅政策都会通过类似国新办新闻发布会或者类似各种论坛的时候由相关部委领导进行宣布,以期起到更好的舆论导向效果。2025陆家嘴论坛将于2025年6月18日至19日召开,本次会议发布若干重大金融政策可能与稳定经济预期和市场预期有关。
(3)外部风险
目前,美债和日债收益率持续攀升成为市场关注的风险点,六月是美债到期高峰,美债是否会引发海外市场的波动,对A股风险偏好有一定影响。
02
大势研判核心逻辑:震荡蓄力,权重占优
展望6月,市场可能会呈现指数震荡蓄力,大盘、质量类指数相对占优的格局。从目前基本面的趋势来看,基本维持较为稳定的状态,外部环境变化导致的出口下滑仍未发生,内需政策仍处在蓄力的状态,可能随时推出一些增量政策。市场担心的地产销量依然保持弱稳定。上游低通胀压力加剧,中下游需求相对稳定。总体来看,企业盈利预期仍将保持平稳。制造业融资需求仍然低迷,企业资本开支维持下行趋势。基于现金流、ROE等盈利质量的策略有望开始持续占优。6月逐渐进入对半年报的预期阶段,业绩将会逐渐纳入考量因素。7月7日程序化交易新规将会实施,6月是程序化交易最后合规调整的时间窗口,预计交易活跃度将会有所下降。融资余额流入有限,个人投资者增量资金有限,而目前小微风格的交易集中度再度来到历史高位。目前监管环境、资金环境对偏贵的中小风格相对不利。外部因素方面,关税谈判会时不时对市场产生扰动,但是对A股的影响逐渐衰竭。外部流动性层面,6月需关注美债到期高峰可能会对美元指数、美债收益率的影响对A股的间接影响。总体来看,宽基指数在六月偏震荡的概率较大。而基本面、流动性和监管环境更加有利于权重、质量类风格的表现。
1、目前经济形势——总需求仍然稳定,投资端承压,上游低通胀加剧
总需求仍保持4%上下稳定,工业企业收入增速稳定
4月,计入政府广义开支、商品房销售额、社会零售商品额、出口金额和企业资本开支的总需求增速同比增速为4.6%,总需求依然保持稳定。工业企业收入增速为3.6%。整体来看,目前的需求和企业收入增速有望保持稳定

5月10-11日中美经贸高层在日内瓦会谈,12日发布了联合声明,核心是关税双向调整:美方取消4月8-9日加征的91%关税,暂停4月2日34%对等关税中的24%部分90天。声明发布后,此前受到较大冲击的中美贸易短期内大幅回暖,并再度带有“抢出口”的性质。五月中下旬,港口货物吞吐量再度大幅反弹。预计5月出口数据仍将保持较高增速。

但是,需要关注的是,今年关税扰动下,美国一季度进口持续高增,有明显抢进口的特征,四月受到关税冲击增速大幅下滑后,预计5月美国进口增速又将高增速,再“抢”一波进口,如此一来,上半年美国整体呈现抢进口的特征。则下半年在经济数据削弱和提前抢进口的双重影响下,预计下半年美国进口需求可能会大幅回落。

由于此前中国出口一直不错,因此,今年国内在内需政策方面保持了相对温和的态势,尤其在投资端,今年以来固定资产新开工计划项目总投资额增速为-6.7%,4月房地产新开工增速负值进一步扩大。

从土地成交的情况来看,今年以来,工业用地、商服用地、住宅用地成交面积降幅均持续扩大,现实企业投资意愿相对不足。

由于投资需求相对低迷,投资链大宗商品价格持续调整,3月开始呈现加速下行的态势,显示上游的低通胀压力加大。

一季度开始政府债券发行大幅增加,而开支力度相对有限,目前财政存款余额增速攀升至21%,但政府支出增速相对有限。

尽管从政府支出的方向来看,要提高中低收入群体收入,大力发展服务消费。但是,如果出口面临更大的下行压力,托底基建、地产的政策有望进一步加大力度。
其中,5月7日央行宣布下调PSL的利率,后续PSL是否会重启,以及投资的方向值得重点关注。
总的来看,当前经济总需求呈现稳定的特征,但是投资端相对承压;下半年出口端面临更大的下行压力,稳投资的政策有望加码,推动经济整体趋于稳定。目前来看,上市公司一季度盈利增速转正后,从工业企业的盈利增速来看,二季度仍有望维持在0~5%的窄幅震荡的区间。

从二季度工业企业的土地成交情况来看,仍然保持负增长,预计二季度上市公司资本开支仍将保持负增长。我们强调的上市公司整体经营现金流量净额稳定增加,资本开支稳定下降的局面未变,上市公司自由现金流仍有望改善。寻找高自由现金流收益率及自由现金流边际改善的方向是目前较为重要的选股方向

2、陆家嘴金融论坛的政策展望
2025陆家嘴论坛将于2025年6月18日至19日召开。本届论坛聚焦“金融开放”,将主题设定为“全球经济变局中的金融开放合作与高质量发展”。论坛期间,中国人民银行、国家金融监督管理总局、中国证监会、国家外汇管理局和上海市人民政府的领导将在发表演讲,且中央金融管理部门还将发布若干重大金融政策。
本届论坛围绕金融开放合作与高质量发展,安排了8场全体大会。分别是:第一场:“全球经济变局中的金融开放合作与高质量发展”;第二场:“增强全球货币政策的协调性”;第三场:“推动资本市场持续稳健发展”;第四场:“深化上海与香港国际金融中心合作发展”;第五场:“金融支持新质生产力发展”;第六场:“人工智能赋能金融改革创新:机遇和挑战”;第七场:“提高普惠金融服务的均衡性和可及性”;第八场:“完善绿色金融政策、标准和产品体系”。
回顾2024年论坛内容,央行、证监会、金融监管总局分别提示了6方面重要内容,包括探索险资试点黄金投资、对金融机构的规模情结治理、M1口径调整等。展望今年金融论坛,增量政策有望主要聚焦金融对外开放领域,其他增量内容或涉及保险定价机制、更多有关公募基金改革相关内容等。

3、自由现金流持续改善,质量类指数超额收益持续提升
质量类指数4月底以来超额明显,3月中旬以来超额收益见底。5月年报及一季报发布以来,A股出现了不一样的变化,300质量成长,300质量等这样的质量类指数开始崛起,开始超越中证2000为代表的小盘指数。

质量系列指数,在2019年年初至2021年春节大放异彩,被市场广泛称为“核心资产”,而在2021年1月中下旬开始,质量类系列指数开启了持续的超额收益下行的过程。3月中旬开始,质量类指数的超额收益开始见底。这是不是意味着时隔四年之后质量类指数和“核心资产”会重新卷土重来。

需要说明的是,质量类指数,在中证指数公司推出了系列指数,包括质量、质量成长、红利质量、质量低波,分别在300、500、800样本空间里面根据对应指标进行选择。

其中,质量指数的标准是:

质量成长的标准是:

选择这些指标加权平均后排序最靠前的股票组成质量成长组合。
而300质量低波的选择指标与300质量成长一致,只不过,质量低波选择这些指标加权排序后,剔除后60%的证券,剩下40%证券,计算其波动率即过去一年日收益率的标准差,选取波动率最低的 50 只证券作为指数样本。也就是说,选择质量成长里面还不错的,但是波动率最低的50只股票。
红利质量的选择标准是:

从上述构建质量类组合的指数来看,都考虑了ROE、ROE变动、以及经营活动现金流量净额。
● 我们需要回答一个问题,考虑了ROE和经营活动现金流量的本质是什么?
自由现金流(经营现金流量净额-资本开支)、ROE是计算一个上市公司给股东创造的内在价值回报率的核心指标。
在正式描述沪深300的逻辑之前,我们需要定义一些指标来衡量股票给投资者来带的相对稳定的内在回报,其基本原理我们在《静态投资框架十问》里面已经描述过,一个公司给投资者的真实内在回报,应该是这个公司在生命周期内自由现金流的贴现回报率。
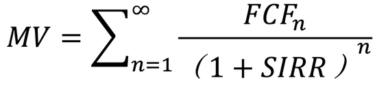
一个股票所有的投资成本,是当期公司的总市值(Market Value,MV),公司每年产生的回报,就是每年的自由现金流,按照一个投资项目求内在回报率的公式,以当期价格计算一个股票总市值(Market Value,MV),求该公司的SIRR,公式如下:

最终,考虑了基于公司内生增长后:

其中,FCF代表公司的自由现金流,其简洁的计算公式为公司经营现金净流量扣除资本支出后的余额。MV指代公司的市值,而RR则表示公司进入稳定经营状态后,利润的留存比例。参照发达国家的经验,在经济与经营环境趋于稳定的情况下,RR通常维持在20%至25%的区间内。
如果不考虑公司的永续增速,则公司的内在回报率就等于当前的自由现金流收益率=FCF/MV
而通常情况下投资者讨论的股息率是公司的经营自由现金流分配给股东的部分,也就是股息除以市值。
因此,高质量的股票,本质就是高SIRR,给股东创造的永续增长的自由现金流最大的股票。
因此,高质量的股票,本质就是高SIRR,给股东创造的永续增长的自由现金流最大的股票。
为何过去四年质量类指数超额收益持续回落,为何在一季度开始触底?
2021年一季度,沪深300自由现金流增速持续回落,源自于经营现金流量增速下滑和资本开支高企,相当于沪深300内在价值增速在持续回落,在这种情况下,沪深300质量类股票表现持续落后。

在盈利能力指标方面,沪深300非金融建筑的ROE在2021年上半年结束了上行,2022年开始持续下行,到2024年年报以及2025年一季报ROE开始触底回升的迹象。

随着经济平稳运行,龙头上市公司经营趋于稳定,现金流量净额开始逐步增长,资本开支稳定下降,自由现金流收益率持续攀升。

目前沪深300非金融建筑的净现金流净额TTM增速是5%,资本开支下降的速度TTM是-6%。因此,如果今年年内上市公司沪深300非金融建筑的净现金流净额和资本开支仍然保持当前的趋势,我们可以计算到年底时,沪深300非金融建筑的自由现金流将会进一步扩大,对应的自由现金流率将会进一步提升。

在考虑了年内经营流量净额变动趋势和资本开支变动趋势之后,以当前市场衡量或300非金融建筑的自由现金流率为5.2%,SIRR为7.5%。

在3月中下旬开始,质量类指数表现较高,很可能就是我们去年下半年以来一直倡导的,以长期内在回报为基础进行投资,买入高自由现金流收益率,高SIRR的股票,在年报及一季报披露后,开始被市场逐渐所接受。
在系列指数里面,ROE最高,SIRR最高的是300质量成长,也正好是4月底以来表现最好的指数。
对比了300质量系列之后,我们的直观感受是,300质量成长更加接近2017年兴起的“核心资产”的概念。而这个组合也恰恰是我们提出的SIRR最高指数。
因此,我们在《重估A股的基本原理:权重指数篇——A股投资启示录(二十九)》中描述了未来两年重估A股权重股的逻辑,类固收的资产,一旦收益率下行,就会对应估值上行,这埋下了沪深300等权重指数重估的引子,基于内在回报率这种收益率下行带来的重估,空间最大的毫无疑问就是SIRR最高的指数。我们估计沪深300在未来两年上行的空间在22~61%之间。这个逻辑下,权重指数内部,毫无疑问,重估时弹性最大的就是最高SIRR的300质量成长。
4、小盘风格交易集中度达到历史高点,监管环境对小盘风格相对不利
● 小盘因子交易集中度达到极限,量化新规即将实施,加大对操纵市场的处罚宣导有助于市场回归大盘、质量
2021年在经济基本面向下的背景下,基于基本面的投资方法论受到抑制,此时,基于产业趋势和主题投资盛兴,而2021年开始,量化私募全面崛起,为中小风格带来了更多的增量资金,2021年2月到2023年11月下旬,小盘风格演绎到极致。中证2000成分股在市场中成交量占比攀升至30%以上,但是在临近年底,因为担心业绩不及预期,小盘股遭遇抛售,进一步引发了量化产品、和以DMA和雪球产品为代表的衍生品的减仓,形成了自我强化的向下正反馈,最终导致了2023年12月至2024年2月小盘股的暴跌。
2024年10月开始,由于权重股大幅反弹后,市场风险偏好再度大幅提升,去年10月以来,个人投资者增量资金持续入市,市场股票投资活跃度大幅提升,中证2000成分股在市场中的成交量再度攀升在30%以上,本周(5月30日),中证2000的成交额占比超过接近2023年11月24日的水平,创下历史新高。目前来看,市场对小盘股的热度接近上一轮周期的高点。

目前来看,从监管的角度看,有这些事情可能会给小盘风格降温:
第一、三大交易所(沪深北)在4月3日发布了《程序化交易管理实施细则》,并将在7月7日正式实施。

这个交易实施细则,对瞬时申报速率异常、频繁瞬时撤单、频繁拉抬打压、短时间大额成交等行为进行相应的约束,对高频交易认定进行明确规定,并要求程序化交易投资者需在交易前向交易所报告账户信息、资金规模、交易策略等。规则自4月3日发布后预留3个月过渡期,供市场调整技术系统。
也就意味着,随着时间的推移,程序化交易将会逐渐走向规范,这很有可能会降低程序化交易的频率、换手率,也可能会使得部分程序化交易的资金改变策略,也可能使得部分程序化资金退出程序化交易改投其他策略。
由于量化产品此前对全市场交易贡献较大,尤其是对中小股票提供了流动性贡献较大。因此,在临近《程序化交易管理实施细则》正式实施之前,需要关注由于交易换手降低导致的情绪退潮对中小股票的影响。
第二,媒体频频将过一段时间操作市场的被证监会处罚进行曝光,增加这些被处罚违法行为对市场的警示作用。
第三,国家网信办持续深入整治网上金融信息乱象。对于网络平台上非法荐股,通过煽动性或暗示性话语,引导投资者付费加群跟投买入个股、暗示预测个股走势、宣扬买某些股票稳赚不赔,进行非法荐股进行整治。
以上的监管行为,可能会使得过去一段时间,对于部分个股的炒作风气形成一定抑制。
● 证监会发布《推动公募基金高质量发展行动方案》,首批浮动费率主动公募产品发行,推动公募基金的更加重视在中长期视角战胜基准。
证监会发布《推动公募基金高质量发展行动方案》,从优化基金运作模式、建立健全基金公司收入报酬与投资者回报绑定机制;完善行业考核评价制度,全面强化长周期考核与激励约束机制;大力提升公募基金权益投资规模与占比;加快建设一流投资机构;守牢风险底线,提升行业发展内在稳定性;强化监管执法;等六个方面25条具体措施细化了未来公募基金高质量发展的具体实施方向,着力督促基金公司、基金销售机构等行业机构从“重规模”向“重回报”转变。
往后去看,《推动公募基金高质量发展行动方案》(以下简称《行动方案》)将在中长期影响公募基金的产品布局和投资行为。
目前,第一批浮动费率基金产品也即将发行。这些改革措施可能会改变主动公募的投资模式,从过去追求中短期排名扩大规模,到中长期稳定战胜基准获得基金规模稳定增长。
如此一来,1)对长期收益和收益稳定性的关注可能导致公募基金整体换手率会有所下降, 2)在投资方向上,公募基金将更加重视中长期的投资机会,更加需要考量公司长期的内在价值;这不仅包括中长期产业趋势的挖掘,也包括在市场明显低估的阶段积极进行逆势布局,以及选择高内在回报率的股票 3)为了提高投资收益的稳定性,公募基金可能更加重视对低波高内在回报率产品及股票的配置,从而推动公募加大对基准指数中高质量股票的投资规模。
总的来看,无论是《推动公募基金高质量发展行动方案》还是浮动费率管理产品,都强调基准的作用。未来基金经理对基准的重视度将会提升。而6月30日后的7月中下旬会披露基金二季度报告,其中会披露基金重仓股。而8月披露的基金半年报还会披露基金的全部持股。因此,目前的监管环境下,对基准的重视,使得在6月基金经理有将持仓向基准靠拢的动力。
由于大部分基金产品以沪深300和中证800为业绩比较集中中权益部分的基准,买入沪深300和中证800中绩优高质量的股票,就可能成为基金经理在当前环境下的共同选择。
5月小微盘股加速减持,计划减持规模再度回升。5月重要股东净减持127亿元,净减持规模较2025年4月前值37亿元明显回升。从5月净减持的结构上看,5月中证2000和中证1000净减持规模合计86.6亿元,占比68.2%,沪深300指数成分股小幅净增持1.3亿元。目前来看,市场对小盘股的热度接近上一轮周期的高度,在此背景下小盘股重要股东减持动机强化,加速减持离场,小盘股资金需求扩大。

统计近十年以来6月风格表现显示,6月大盘成长占优概率较大,显著高于中证2000小盘股。历年6月大盘成长相对万得全A的胜率达70%,平均超额收益1.36%,巨潮大盘、中证A50、国证成长等偏大盘成长指数上涨概率均相对较大。

5、美债压力及对A股的影响
5月以来,受穆迪调整美债评级、美国政府推动减税法案以及美债拍卖遇冷等因素影响,美债收益率整体震荡上行,曾一度突破4.5%,最高超过4.6%。具体来说,1)5 月 16 日收盘后,穆迪把美国长期主权信用从 Aaa 下调至 Aa1,展望由负面调为稳定;2)5月18日特朗普推行的减税法案以17票赞成、16票反对的结果成功通过众议院预算委员会表决,5月22日减税法案在美国众议院获得通过,市场对美国财政赤字进一步扩大、财政状况继续恶化的担忧加剧,带动美债收益率上行。3)5月20日,美国20年国债拍卖遇冷,得标利率超过5%,几乎是该期限国债推出以来拍卖表现最差的一次之一,这使得美债投资者信心再遭重创,且日债拍卖遇冷、需求不足导致利率大幅上行后,日元套息交易可能发生逆转加剧了美债利率的上行。4)不过随着5月22日美联储理事沃勒发言释放暖意,美债收益率开始高位回落。沃勒表示,如果特朗普政府对美国贸易伙伴征收的关税维持在约10%的水平,美联储可能在2025年下半年开始降息。
从美元指数的走势来看,在5月美债收益率快速上行的阶段,美元指数基本回落,而美债收益率从22日回落后,美元指数开始回升,两者相背离的走势进一步反映出当前影响美债利率走势的关键在于美国债务风险和美元信用的担忧。

往后去看,可能影响美债收益率走势的因素包括:
第一,若美国关税政策继续反反复复,或者落实此前的高额对等关税,通胀担忧加剧,则美债收益率存在进一步上行风险。5月9日美联储发布的研究结果表明,2018-2019年贸易战期间,关税变化在关税实施后的两个月内就完全迅速地传导到消费品价格中,这意味着,4月加征关税政策的影响很可能会在未来的通胀数据中逐渐得到体现,尤其6月可能更为明显。因此,关税政策下的通胀担忧将是导致美债利率维持高位的一个因素。
第二,减税法案目前尚未落地,最终落地法案内容的调整可能影响市场对美国财政赤字情况的预期。如果赤字担忧加剧,则可能引发美债利率进一步上行。

第三,从美国国债到期情况来看,6月美国国债到期规模1.45万亿美元,不过其中1年以上的中长期债券到期规模仅1757亿元,这意味着从债券发行规模的角度看,其对中长端国债利率的影响相对有限,而真正导致美债利率上行的是市场对美国高额债务可持续性的担忧,比如,5月长期美债发行遇冷所导致的美债利率上行。另外,当前美国财政扩张面临债务上限约束,但等到债务上限问题解决(提高债务上限或者暂停债务上限)后,美债净发行规模可能会出现短期快速增加,回收流动性,带动美债利率出现短期的向上脉冲。根据贝森特近期表述,债务上限谈判隐含的“X-Date”可能在8月左右。

因此,综合前述分析,预计美债利率在短期之内将继续维持高位震荡的格局,对美国财政可持续性担忧引发的美债脆弱性及关税推升通胀的担忧可能是导致美债收益率上行的主要因素。并且在当前的弱美元环境下,美债压力很容易引导美元指数一起下行,形成美债和汇率双杀的局面。
那么,持续高位的美债利率对A股有何影响呢?
2016年-2021年外资加速流入A股阶段,外资对A股拥有一定程度边际定价权,因此美债收益率对A股尤其A股成长/价值风格的切换影响明显。2022年之后,外资流入放缓,美国十年期国债收益率的变化对A股风格的影响开始变得不明显。
具体到当下,美债利率攀升或者持续高位短期压制市场风险偏好,会抑制A股向上弹性,不过考虑到当前美债利率上行的主要驱动逻辑,以及2022年以来美债收益率对A股边际影响减弱,预计其对A股的影响以短期情绪为主,较难形成趋势性影响,比如,5月以来美债收益率上行过程中A股继续震荡上行。但需要警惕的是,如果美债发行继续出现需求不足的情况,美债流动性进一步恶化,引发美元资产整体下跌,则可能对全球风险资产形成联动性冲击,例如今年4月美国股债汇三杀的阶段对全球市场风险偏好均形成了冲击。

6、六月赛道核心变化预期关注
展望6月,重点关注AI应用、自主可控、创新药、新消费、贵金属五大赛道相关变化。

(1)AI应用
在AI应用领域,重点关注智能驾驶与AI应用(端侧、智能体、DS大模型突破等)等细分方向。
近期AI应用产业端催化密集。此前,在乘用车自动驾驶方面,多家主流车企(包括新势力和传统巨头)在2024年末至2025年初宣布量产的L3级有条件自动驾驶乘用车,在2025年5月迎来首批大规模交付用户的节点;在无人货运方面,京东物流、菜鸟、顺丰、美团等头部企业或在“618”大促前夕宣布其在城市末端配送、园区/厂区内部物流环节无人物流车的规模化落地计划或过去一年的运营成果。
在6月的事件预期上,2025全球人工智能技术大会将于6月7日至8日在杭州召开;苹果公司计划于6月9日当周举行年度全球开发者大会。
估值层面看,AI应用因短期缺少事件催化而调整较多,当前节点估值已位于近三年28%的分位点上,已然具备估值修复机会。
(2)自主可控
在自主可控领域,产业端催化同样密集:如美国特朗普政府宣布无限期禁止向中国出口英伟达 H20 GPU,华为昇腾 920 芯片预计下半年发布。
从赛道基本面的角度看,存储芯片涨价潮延续,在截至5月27日的一周内,多款DDR4产品环比价格上涨,其中DDR4 16Gb 3200、DDR4 8Gb 3200、DDR4 8Gb eTT价格分别环比上涨3.95%、15%、10%。
估值层面看,虽然中芯国际对Q2指引略低于市场预期,但国产替代与自主可控的发展大势仍充满确定性,本轮调整过后赔率将逐步提升,估值修复空间仍然较大。
(3)创新药
在创新药领域,近期国际会议催化频出,AACR、ASCO年会中中国创新药大放异彩,多家企业研发实现重大突破。继《政府工作报告》提出支持创新药发展后,医保集采持续向创新药倾斜,为板块内部分企业提供资金支持;
从赛道基本面看,国产创新药出海逻辑获得里程碑式强化。5月20日早,三生制药宣布,公司及附属子公司沈阳三生、三生国健与辉瑞签署协议,刷新了国产创新药License-out(对外授权)的最高首付款纪录。
政策端,多地出台创新药扶持文件,实现政策、资金、审批多方位联动催化。当前创新药板块市盈率、市销率均低于价格中枢,整体估值在年初大涨后陷入停滞,估值修复预期犹存,伴随着后续诸多利好催化(如创新药出海及议价能力增强等),或将再度重演年初上涨行情。
(4)新消费
新消费方向,可以重点关注IP经济、谷子经济、宠物经济、卡牌等细分方向投资机会,
从赛道基本面的角度看,龙头公司泡泡玛特近期催化较多,5月20日,摩根大通发表报告指,首次覆盖泡泡玛特,予“增持”评级,目标价250港元。此外,Labubu 三代搪胶毛绒于 4 月 24 日全球发售,在北美定价为 27.99 美金,比原一二代提价 27.3%的情况下,在洛杉矶、伦敦等地排长队等待发售。据七麦数据,425 泡泡玛特官方 app 首次登顶美国 app store 购物榜,一日之内跃升 114 位次成为免费总榜第 4 名。
后续重点关注新消费产品/形式破圈的机遇。
(5)贵金属
在贵金属领域,考虑到中美贸易摩擦延续,俄乌、中东冲突多点爆发,金价一度突破历史高点;美联储降息压力加剧,市场预期将在两个月内降息,利好贵金属价格中枢;央行连续四个月持续购金,需求端体现兜底,金价中期看多观点保持不变。此外,上市公司有望充分受益金价上涨,盈利能力与成长能力较为可观。
7、资金供需平衡表分析
5月股票市场可跟踪资金紧平衡,各类增量资金相对均衡。资金供给端,新发偏股基金规模有所收窄;市场冲高回落,ETF转为净赎回;市场风险偏好有所改善,但融资资金仅小幅净流入。资金需求端,重要股东净减持规模扩大;IPO发行规模小幅回升,再融资规模回落,资金需求规模低位回升。5月主力增量资金方面,各类增量资金相对均衡。


5月融资资金交易活跃度下降,融资资金净增量有限。截至2025年5月29日,融资余额1.8万亿元,当月融资仅净流入219亿元,融资余额占A股流通市值的比例为2.45%,处于2016年以来的88.46%分位,融资融券平均担保比例回升至266.84%。5月A股主要指数随修复至关税前水平,但主要呈现“缩量反弹”特征,市场缺乏持续性热点,投资者参与意愿较低,直接抑制融资资金入场动力,导致5月融资净增量相对有限。展望6月,外围关税不确定性仍在,政策真空期与外部扰动继续压制风险偏好,融资增量难有大幅净流入,小微盘风格增量资金或相对受限。

5月计划减持规模扩大,结构上以小微盘净减持为主。5月重要股东增持91亿元,减持217亿元,净减持127亿元,净减持规模较2025年4月前值37亿元明显回升。此外,5重要股东计划减持规模也再度回升至552亿元。从5月净减持的结构上看,5月中证2000和中证1000净减持规模合计86.6亿元,占比68.2%,沪深300指数成分股小幅净增持1.3亿元。5月以来小微盘率先反弹,中证2000成分股在市场中的成交量再度攀升在30%以上,本周(5月30)日,中证2000的成交额占比超过接近2023年11月24日的水平,创下历史新高。目前来看,市场对小盘股的热度接近上一轮周期的高度,在此背景下小盘股重要股东减持动机强化,加速减持离场。


5月ETF资金获利了结,由净申购转为净赎回。5月ETF净赎回325亿份,对应净流出479亿元。结构上,5月净申购较多的规模指数型ETF主要为科创板ETF,A500、创业板、沪深300ETF净赎回规模扩大,行业主题型ETF中净申购较多的集中在信息技术和军工ETF。随着主要指数修复至关税前附近水平,4月逆势净申购的ETF资金整体“落袋为安”,赎回涨幅较多的A500和沪深300,申购调整较多的科创板ETF。


展望6月二级市场可跟踪资金有望温和净流入,结构上融资增量有限,产业资本减持延续,ETF转向结构性流入。资金供给端,5月融资资金交易活跃度下降,融资资金净增量有限,当前外围关税不确定性仍在,政策真空期与外部扰动继续压制风险偏好,6月融资或难有大幅净流入,小微盘风格增量资金或相对受限。5月计划减持规模扩大,结构上以小微盘净减持为主,当前市场对小盘股的热度接近上一轮周期的高度,在此背景下小盘股重要股东减持动机强化,6月净减持有望延续。5月主要指数修复至关税前附近水平,ETF资金获利了结净赎回,展望6月仍然有望维持逆势操作,结构性净申购低位板块。从资金面看,小微盘风格增量资金供给相对有限而需求回升,相对利好大盘龙头风格表现。
8、总结:6月市场可能会呈现指数震荡蓄力,大盘、质量类指数相对占优的格局
展望6月,市场可能会呈现指数震荡蓄力,大盘、质量类指数相对占优的格局。从目前基本面的趋势来看,基本维持较为稳定的状态,外部环境变化导致的出口下滑仍未发生,内需政策仍处在蓄力的状态,可能随时推出一些增量政策。市场担心的地产销量依然保持弱稳定。上游低通胀压力加剧,中下游需求相对稳定。总体来看,企业盈利预期仍将保持平稳。制造业融资需求仍然低迷,企业资本开支维持下行趋势。基于现金流、ROE等盈利质量的策略有望开始持续占优。6月逐渐进入对半年报的预期阶段,业绩将会逐渐纳入考量因素。7月7日程序化交易新规将会实施,6月是程序化交易最后合规调整的时间窗口,预计交易活跃度将会有所下降。融资余额流入有限,个人投资者增量资金有限,而目前小微风格的交易集中度再度来到历史高位。目前监管环境、资金环境对偏贵的中小风格相对不利。外部因素方面,关税谈判会时不时对市场产生扰动,但是对A股的影响逐渐衰竭。外部流动性层面,6月需关注美债到期高峰可能会对美元指数、美债收益率的影响,以及对A股的间接影响。总体来看,宽基指数在六月偏震荡的概率较大。而基本面、流动性和监管环境更加有利于权重、质量类风格的表现。
当前,消费需求稳定、政府开支稳定,出口尚未被外部因素影响,市场最担心的地产销量五月仍相对弱稳定,在这样的环境下总需求增速依然保持4%左右的稳定。但目前投资端面临较大的压力,地产新开工、制造业投资需求均保持下行趋势,基建投资需求尚未释放,国内定价大宗商品大幅下跌,上游低通胀压力加剧,中下游成本端有所改善,期待六月有更多支持投资端的政策出台。预计二季度企业盈利仍然在低基数下保持稳定正增长。企业资本开支预计进一步下行,自由现金流改善趋势未变,四月开始,质量类指数似乎已经出现了超额收益的中期拐点。六月继续关注以沪深300质量成长为代表的质量类指数。
2025陆家嘴论坛将于2025年6月18日至19日召开,论坛主题为“全球经济变局中的金融开放合作与高质量发展”。中国人民银行、国家金融监督管理总局、中国证监会、国家外汇管理局和上海市人民政府的领导将在论坛上发表演讲。论坛期间,中央金融管理部门还将发布若干重大金融政策。6月之后,出口可能会面临更大的下行压力,同时也可能会面临关税谈判中的波折。本次会议发布若干重大金融政策可能与稳定经济预期和市场预期有关。
海外流动性方面,市场对美债问题持续担忧,日债也成为市场新的关注点。需关注美债、日债的危机和担忧对美元指数、美债收益率的影响对A股的间接影响。具体到当下,美债利率攀升或者持续高位短期压制市场风险偏好,会抑制A股向上弹性,不过考虑到当前美债利率上行的主要驱动逻辑,以及2022年以来美债收益率对A股边际影响减弱,预计其对A股的影响以短期情绪为主,较难形成趋势性影响。
中美关税谈判目前仍悬而未决,尽管美国国内对于特朗普政府征收关税有诸多掣肘,但是特朗普政府仍将关税作为非常重要的经贸议题,对欧、对华的关税扰动仍然持续影响市场风险偏好。但是,我们认为,由于美国货币政策宽松的掣肘就在通胀,而关税提高势必推高通胀,使得特朗普政府最终征收高关税不现实。如果有限提高关税,最终会被供应链化解。预计未来关税扰动对A股的影响将会逐渐边际递减。
从目前增量资金的角度来看,无论是ETF还是融资余额,流入都相对放缓。在市场未形成突破式上行之前,个人投资者进入市场的动力不足,险资目前来看仍然是增持A股的主力。而在量化基金监管方面,《程序化交易管理实施细则》将于7月7日实施,程序化和高频交易进入最后的过渡期,程序化交易调整技术系统进入最后阶段。由于量化产品此前对全市场交易贡献较大,尤其是对中小股票的流动性贡献较大。因此,在临近《程序化交易管理实施细则》正式实施之前,需要关注由于交易换手降低导致的情绪退潮对中小股票的影响。《推动公募基金高质量发展行动方案》和浮动费率产品的发行,使得主动基金的业绩比较基准受到更大的关注。6月底主动公募的持仓会在随后的二季度报告和半年报披露十大重仓和全部持仓,考虑到相对基准的偏离度问题,部分主动公募可能会将持仓向基准更加靠拢。这些因素综合作用,都会使得风格会偏向大盘质量类的风格标的。
03
风格与行业配置思路
1、 风格策略选择:大盘风格为主
进入6月后,综合日历效应、海外流动性环境变化、国内监管政策、增量资金及风格交易热度,我们认为6月市场风格可能整体偏大盘风格为主,成长价值或相对均衡。具体来说,第一,从历史来看,近十年的6月大盘成长风格占优概率和跑赢万得全A概率较高,达到70%。第二,外部流动性方面,考虑到市场对美国财政高赤字的可持续性担忧,以及关税对通胀的影响或逐渐显现,预计美债收益率将保持高位震荡,对A股市场弹性具有一定压制。第三,量化交易监管新规将在7月7日开始实施,在仅剩的一个月过渡期内,量化交易活跃度可能下降,使得当前成交额占比已经较高的小微盘风格热度下降;另外,公募基金改革新规更加重视业绩基准,考虑到半年报中公募基金需要披露全部持仓,公募基金可能增加对基准成分股的配置,有利于大中盘风格。第四,增量资金角度,6月市场整体增量资金规模或相对有限,结构上,融资资金难有大幅净流入,震荡行情下ETF申赎或相对乏力,而小微盘的减持和计划减持规模均有所增加,此情况更有利于大盘风格。基于以上,我们认为6月大盘风格相对占优,成长价值风格相对不明确。对6月的风格指数推荐如下:

(1)日历效应:近十年的6月大盘成长风格占优概率高
从历史来看,历年6月大盘成长风格占优的概率相对高。具体来看,风格方面,巨潮大盘、国证成长占优概率高,均达到70%;大盘成长风格跑赢万得全A的概率最高,达到70%;在主要宽基指数中,中证1000在6月占优的概率以及跑赢万得全A的概率均为40%;沪深300指数跑赢万得全A的概率最高,为50%,但在几个宽基指数中表现最优的概率只有20%。

(2)外部流动性:美国财政持续性担忧叠加关税影响,美债利率高位震荡
5月以来,受穆迪调整美债评级、美国政府推动减税法案以及美债拍卖遇冷等因素影响,美债收益率整体震荡上行,最高超过4.6%。具体来说,1)5 月 16 日收盘后,穆迪把美国长期主权信用从 Aaa 下调至 Aa1,展望由负面调为稳定;2)5月18日特朗普推行的减税法案通过众议院预算委员会表决,5月22日减税法案在美国众议院获得通过,市场对美国财政赤字进一步扩大、财政状况继续恶化的担忧加剧,带动美债收益率上行。3)5月20日,美国20年国债拍卖遇冷,得标利率超过5%,几乎是该期限国债推出以来拍卖表现最差的一次之一,这使得美债投资者信心再遭重创,且日债拍卖遇冷、需求不足导致利率大幅上行后,日元套息交易可能发生逆转加剧了美债利率的上行。4)不过随着5月22日美联储理事沃勒发言释放暖意,美债收益率开始高位回落。沃勒表示,如果特朗普政府对美国贸易伙伴征收的关税维持在约10%的水平,美联储可能在2025年下半年开始降息。
从美元指数的走势来看,在5月美债收益率快速上行的阶段,美元指数基本回落,而美债收益率从22日回落后,美元指数开始回升,两者相背离的走势进一步反映出当前影响美债利率走势的关键在于美国债务风险和美元信用的担忧。

此外,关税政策对美国通胀的影响或逐渐显现,可能导致美债利率上行。5月9日美联储发布的研究结果表明,2018-2019年贸易战期间,关税变化在关税实施后的两个月内就完全迅速地传导到消费品价格中,这意味着,2025年4月加征关税政策的影响很可能会在未来的通胀数据中逐渐得到体现,尤其6月数据中可能体现更为明显。如果后续关税政策生变,可能进一步增大美债利率上行压力。

整体而言,预计美债利率在短期之内将继续维持高位震荡的格局,对美国财政可持续性担忧引发的美债脆弱性及关税推升通胀的担忧可能是导致美债收益率上行的主要因素,这可能压制短期A股市场弹性。
(3)政策:量化交易监管新规、公募基金高质量发展新规
4月3日,上交所、深交所、北交所三大交易所在4月3日发布了《程序化交易管理实施细则》,并将在7月7日正式实施。在仅剩最后一个月的过渡期内,随着程序化交易更加规范,相关资金有可能会降低程序化交易的频率、换手率,也可能会使得部分程序化交易的资金改变策略甚至退出程序化交易策略。
今年来,小微盘风格的崛起离不开量化资金的推动,量化产品此前对全市场交易贡献较大,尤其是对中小股票提供了流动性贡献较大。近期小微盘成交热度进一步攀升,中证2000成交额占比创下新高,小微盘风格交易进入极致化状态。随着量化交易监管规则实施在即,小盘风格热度大概率会有所下降。

此外,《推动公募基金高质量发展行动方案》进一步强化公募基金业绩比较基准的约束作用。根据《行动方案》,未来将制定公募基金业绩比较基准监管指引,明确基金产品业绩比较基准的设定、修改、披露、持续评估及纠偏机制,并对基金公司选用业绩比较基准的行为实施严格监管,切实发挥其确定产品定位、明晰投资策略、表征投资风格、衡量产品业绩、约束投资行为的作用。
当前主动偏股公募基金的业绩基准基本是股票指数和债券指数加权构成,其中股票指数以沪深300为主,有2000多只基金,对应基金规模超过1.6万亿;其次是中证800指数,有700多只基金,对应规模6000多亿元。5月16日首批26家管理人在公募改革方案落地后正式上报新模式浮动费率基金,首批上报的均为全市场选股的基金,主要对标的也是沪深300、中证A500、中证500或者中证800等主流宽基指数。
往后去看,考虑到6月底主动公募基金的持仓会在随后的二季度报告和半年报披露十大重仓和全部持仓。考虑到相对基准的偏离度问题,部分主动公募可能会将持仓向基准更加靠拢,则会更有利于偏大中盘风格的表现。

(4)增量资金:短期活跃资金增量有限,小盘股减持规模较高
第一,短期A股增量资金有限,存量博弈为主。5月A股主要指数随修复至关税前水平,但主要呈现“缩量反弹”特征,市场缺乏持续性热点,投资者参与意愿较低,直接抑制融资资金入场动力,导致5月融资净增量相对有限。进入6月后,外围关税不确定性仍在,政策真空期与外部扰动继续压制风险偏好,融资增量或难有大幅净流入。与此同时,ETF在5月转为净赎回,在短期市场偏震荡、趋势不明的格局下,ETF申赎或相对乏力,整体而言,短期市场活跃资金的增量规模相对有限。

第二,当前小微盘减持较多,小盘股减持规模较高或对相应风格形成压制。5月重要股东增持91亿元,减持217亿元,净减持127亿元,净减持规模较2025年4月前值37亿元明显回升。从5月净减持的结构上看,5月中证2000和中证1000净减持规模合计86.6亿元,占比68.2%,沪深300指数成分股小幅净增持1.3亿元。此外,5重要股东计划减持规模再度回升至552亿元,中证2000、中证1000的计划减持规模也比较高。

整体而言,6月市场整体增量资金规模或相对有限,结构上,融资资金难有大幅净流入,震荡行情下ETF申赎或相对乏力,而小微盘的减持和计划减持规模均有所增加,在此情况下,增量资金视角更有利于大盘风格。
2、2025年6月行业选择方向
展望6月份,外部关税仍面临不确定性,对国内经济增长带来压力;有待更多政策端的支持实现内部的稳健增长,行业配置预计主要围绕国内自身发展阶段展开,重点关注产能出清拐点和新消费的崛起。
⚫ 传统产能的出清
本轮产能扩张自2021年中期开始,非金融上市企业在建工程2023Q3以来A股非金融上市公司在建工程同比增速趋势放缓,目前处于近十年34.1%分位。在需求端恢复相对偏弱,同时面临关税的不确定性的背景下,行业产能出清较为充分的领域,有望更快迎来景气修复的拐点。
我们将行业亏损企业占比、产能利用率(这里用总资产周转率代替)、现金流等维度交叉验证,筛选出重点关注的领域。
⚫ 亏损企业占比与行业集中度:整体A股中亏损企业占比持续提升,截至24年年报,亏损企业占比约26.8%,超过上一轮企业供给侧改革期间。大类行业中亏损企业占比普遍提升,其中信息技术、医疗保健领域亏损企业占比相对较高。结合行业集中度,截至 24年水泥、装修装饰、房地产、光伏设备、医疗服务、基础建设、通信服务等亏损企业占比与行业集中度(绝对值)相对较高。总资产周转率来看,多数行业处于较低水平,尤其水泥、煤炭、房地产、半导体、电力、航运港口、航空装备、军工电子、风电设备、化学制药、医疗器械、能源金属等。
⚫ 现金流方面,产能持续出清的行业,现金流方面往往表现为低投资现金流和低筹资现金流,如果经营现金流仍处于较低水平,表明此时行业仍处于持续出清过程中,典型行业如钢铁、装修装饰、装修建材、电网设备、专用设备、饮料乳品、航空装备等;如果行业经营现金流改善,一定程度表明行业经营情况有所改善,产能出清拐点临近,典型行业如酒店餐饮、商贸零售、工业金属、航空机场、石油石化、化学原料、工程机械、化学制药等。
综合以上,重点关注企业亏损占比和行业集中度较高,总资产周转率、资本开支以及投资现金流等处于较低水平的行业,有望较快迎来产能出清的拐点,典型的如半导体、软件开发、煤炭、水泥、装修建材、家居用品、纺织服饰、酒店餐饮、航空装备、装修装饰、专用设备、电池、化学制药等领域。

⚫ 新消费的崛起
1-4月社会消费品零售同比增幅扩大至4.7%,在政策的催化下,社零增长中枢较去年明显上移。后续来看外部关税仍有较大不确定性,叠加全球经济增速较缓慢,外需对整体经济增长的贡献预计有限,内需增长的必要性仍较大。
一方面,随着我国人口年龄结构的变化,Z世代的消费潜力逐渐释放,个性化消费、悦己消费更受青睐;另一方面由于当前居民收入增速相对偏缓,更多高频、小额、可选消费成为首选。

同时结合人口周期阶段、供需约束和产品渗透率,重点关注:1)技术突破赋能下的智能消费,如智能汽车、智能家电、智能家居等;2)“Z世代”的悦己和个性消费,如医美、减肥药、谷子经济、直播电商等;3)银发经济:预计重点机会集中于健康医疗(医药、食品保健品、轻工(成人失禁))、适老消费(服装、智能家居、预制菜、便利超市)、文娱社交、宠物经济及养老金融服务等领域。4)理性消费观念下的性价比消费和下沉市场消费,如量贩零食、低价店等。

⚫ 行业评分热力图与行业配置推荐
根据行业中观景气、宏观周期、筹码、估值、换手率、政策、赛道价值等维度对重点行业评分,本期得分较高的行业主要有小金属、工业金属、汽车零部件、乘用车、工程机械、电池、美容护理、医疗服务、通信设备、调味品等行业。

结合自上而下行业产能出清、新消费崛起与定量评分结果,本期推荐关注汽车、有色金属(贵金属、小金属)、国防军工、商贸零售、美容护理、化学制药重点行业。

3、6月赛道和产业趋势重点关注
6月重点关注五大具备边际改善的赛道:AI应用、自主可控、新消费、贵金属、创新药。

4、总结
风格层面,我们认为6月市场风格可能整体偏大盘风格为主,成长价值或相对均衡。具体原因:1)日历效应6月大盘成长占优;2)外部流动性方面美债、关税存在不确定性;3)量化新规即将实施;4)资金层面短期活跃资金增量有限,小盘股减持规模较高。
行业层面展望6月份,外部关税仍面临不确定性,对国内经济增长带来压力;有待更多政策端的支持实现内部的稳健增长,行业配置预计主要围绕国内自身发展阶段展开,重点关注产能出清拐点和新消费的崛起。
产能出清角度,本轮产能扩张自2021年中期开始,非金融上市企业在建工程2023Q3以来A股非金融上市公司在建工程同比增速趋势放缓,目前处于近十年34.1%分位。我们综合企业亏损占比和行业集中度较高、总资产周转率、资本开支以及投资现金流等处于较低水平的行业,有望较快迎来产能出清的拐点,典型的如半导体、煤炭、水泥、装修建材、家居用品、纺织服饰、酒店餐饮、航空装备、装修装饰、专用设备、电池、化学制药等领域。
新消费方面,一方面,自上而下,在外部面临较大不确定性和内部政策的支撑下,消费领域有望贡献更多增量;另一方面,自下而上,随着Z世代的崛起,个性化消费、悦己消费更受青睐;此外综合渗透率、供需约束等角度,重点推荐关注谷子经济、医美、量贩零食、智能家居家电等领域。
综合以上,行业配置方面重点围绕传统产能出清、新消费崛起、以及行业景气度较高的领域布局,行业推荐重点关注:汽车、有色金属、国防军工、商贸零售、美容护理、化学制药等。
赛道选择层面,6月重点关注五大具备边际改善的赛道:AI应用、自主可控、新消费、贵金属、创新药。
04
流动性与资金供需

1、国内政策与宏观流动性
⚫ 国内流动性:降准后MLF加量续作,资金面稳中趋松
5月央行降准降息落地,MLF加量续作,资金面整体宽松。5月央行公开市场净投放2.3万亿元。5月15日央行降准0.5%,释放长期流动性约1万亿元;同步下调政策利率0.1%(7天逆回购利率至1.4%),5月20日LPR跟随下调10个基点。5月25日,央行开展5000亿元MLF操作,MLF净投放3750亿元。此外,央行5月开展7000亿元买断式逆回购。央行连续加量续作,5月银行体系流动性处于充裕状态,资金利率低位波动。4月政治局会议明确“适时降准降息”,随着关税对经济的影响逐渐显现,货币政策宽松环境有望继续维持,6月资金面有望继续维持宽松。

⚫ 外部流动性:降息预期整体降温,从“三次降息”到“一至两次”
美国商务部公布数据显示,4月核心PCE物价指数同比上涨2.5%,符合预期,较前值修正值2.7%放缓,为四年多来最小的涨幅;核心PCE物价指数环比上涨0.1%,持平前值修正值和预期。特朗普关税政策不断变化带来的经济不确定性增加,美国个人消费支出放缓,但4月通胀数据对美联储降息预期的影响相对有限。

关税对美国通胀的影响在4月的数据中仍不明显,市场对美联储降息预期降温。4月通胀数据对美联储降息预期的影响相对有限,美联储会议纪要(5月28日)也明确:“失业率与通胀上行风险双升”,政策调整需等待“关税经济效应明朗化”。芝商所FedWatch工具显示,6月降息概率降至不足5%,7月概率仅22%,9月概率58%。全年降息预期收敛至1-2次(25-50bp),首次降息时点推迟至9月。
2、股市资金供需
5月股票市场可跟踪资金紧平衡,各类增量资金相对均衡。资金供给端,新发偏股基金规模有所收窄;市场冲高回落,ETF转为净赎回;市场风险偏好有所改善,但融资资金仅小幅净流入。资金需求端,重要股东净减持规模扩大;IPO发行规模小幅回升,再融资规模回落,资金需求规模低位回升。5月主力增量资金方面,各类增量资金相对均衡。



⚫ 外资
5月美联储降息预期有所降温,外资交易活跃度有所下降, 5月日均成交额从4月前值1682亿元下降至1388亿元。

⚫ 基金发行与ETF申赎
5月偏股类公募基金发行规模小幅回落,5月主动与被动偏股基金发行份额295亿份,较4月前值488亿份有所回落。2025年4月,股票型公募基金份额25年3月末增加1094亿份,混合型基金份额增加26亿份,二者合计增加1120亿份。考虑到当月新成立份额后,估算4月偏股类老基金净申购630亿份,净申购比例为0.98%。5月ETF净赎回325亿份,对应净流出479亿元。


结构上,5月净申购较多的规模指数型ETF主要为科创板ETF,A500、创业板、沪深300ETF净赎回规模扩大,净申购较多的集中在科创、半导体、军工、芯片ETF。

⚫ 私募基金
基金业协会最新数据显示,截至2025年4月,私募基金管理规模5.51万亿元,管理只数8.5万只,分别较2025年3月增加2567亿元和减少941只,4月私募基金管理规模继续大幅回升。

⚫ 融资资金
截至2025年5月29日,融资余额1.8万亿元,当月融资净流入219亿元,融资余额占A股流通市值的比例为2.45%,处于2016年以来的88.46%分位,融资融券平均担保比例回升至266.84%。


⚫ 限售解禁与股东增减持
5月重要股东增持91亿元,减持217亿元,净减持127亿元,净减持规模较2025年4月前值37亿元明显回升。按照截至2025年5月30日收盘价估算,2025年6月解禁规模为2300亿元,解禁规模较2025年5月扩大,不同板块解禁规模来看,主板433亿元、创业板800亿元、科创板1025亿元、北证42亿元。考虑到2025年5月解禁规模明显回升,未来重要股东二级市场净减持规模有望继续回升。

⚫ IPO及再融资
以发行日期为参考,2025年5月有8家公司IPO,合计募资规模98亿元,较4月前值65亿元小幅回升。按上市日期统计,5月定增发行募资规模53亿元,较4月前值有所回落。展望6月,IPO发行规模仍然有望保持稳定,资金总需求规模维持低位稳定。

3、小结
6月增量资金或有望温和净流入,各类资金或相对均衡。5月央行降准降息落地,MLF加量续作,资金利率低位波动,资金面整体宽松,展望6月随着关税对经济的影响逐渐显现,资金面有望维持宽松。关税对美国通胀的影响在4月的数据中仍不明显,市场对美联储降息预期整体降温,全年降息预期收敛至1-2次,首次降息时点推迟至9月。5月股票市场可跟踪资金紧平衡,各类增量资金相对均衡。资金供给端,新发偏股基金规模有所收窄;市场冲高回落,ETF转为净赎回;市场风险偏好有所改善,但融资资金仅小幅净流入。资金需求端,重要股东净减持规模扩大;IPO发行规模小幅回升,再融资规模回落,资金需求规模低位回升。展望2025年6月,二级市场可跟踪资金有望温和净流入,结构上融资增量有限,产业资本减持延续,ETF继续结构性流入。
05
企业盈利和中观景气:关注盈利和景气改善领域
1、A股盈利及一致预期
1-4月规模以上工业企业利润同比增幅扩大,4月当月同比增幅扩大。1-4月全国规模以上工业企业实现利润总额21170.2亿元,同比增幅扩大至1.4%(前值0.8%),随着稳增长政策效应逐步显现,单4月同比增幅扩大至3.0%,前值2.6%。1-4月营业收入累计同比增长3.2%(前值3.4%),营业收入利润率4.87%,同比下降0.13个百分点。

拆分结构来看,成本上行,费用下行,利润率改善;价格端仍是较大拖累
1-4月全部工业品PPI累计同比降幅再次扩大至-2.4%,PPI当月同比降幅扩大至-2.7%;1-4月工业增加值同比增幅收窄至6.4%,单月同比增幅收窄至6.1%(前值7.7%),价格端仍是较大拖累。
每百元营业收入中的成本85.54元(前值85.37)。费用端压力减轻,1-4月每百元营业收入中的费用下降至8.28元。1-4月营业收入利润率4.87%,同比下降0.13个百分点,较前值4.70%略有提升。综合来看,价格和成本是盈利改善的主要拖累。

⚫ 结构上,资源品、TMT、必需消费、中游设备均有改善
从工业企业三大领域来看,1-4月采矿业利润同比降幅扩大,制造业利润同比增幅扩大,电力行业利润同比增幅收窄。1-4月份采矿业利润同比下降26.8%(前值-25.5%);制造业整体利润同比增幅扩大至8.6%(前值7.6%);电力、热力、燃气及水生产和供应业利润同比增幅收窄,累计同比增长4.4%(前值5.4%),其中电力行业利润增长5.6%。
三个月滚动来看,大类板块盈利多数正增,资源品、TMT、必需消费、中游设备均有改善。上游资源品三个月滚动同比增幅扩大至19.7%;中游设备同比增幅扩大至11.1%;基本消费品行业中,可选消费同比降幅扩大至-13.1%,必需消费同比增幅扩大至9.2%;TMT制造业三个月滚动同比增幅扩大至11.6%,医药制造业三个月滚动同比转负至-3.3%。
1-4月在41个工业大类行业中,有18个行业利润同比增速较3月份改善;装备制造业仍然是增长的重要引擎,TMT制造利润持续改善。
⚫ 原材料行业盈利多数下滑,钢铁行业利润同比扭亏为盈,当月同比增幅持续扩大;有色金属、非金属行业同比增幅分别收窄至6.12%和18.53%;化学纤维利润同比降幅扩大至45.92%;
⚫ 装备制造业1-4月利润同比增幅扩大至11.2%,拉动全部规模以上工业利润增长3.6个百分点,设备更新政策持续发力,铁路船舶航空航天、仪器仪表、专用设备、通用设备、电气机械行业分别增长59.2%、22.0%、13.2%、11.7%和15.4%。
⚫ 高技术制造业盈利累计同比增幅扩大至9.0%,人工智能领域增速领先,半导体器件专用设备、电子电路行业分别增长105.1%、43.1%,智能车载设备、智能无人飞行器、可穿戴智能设备行业分别增长177.4%、167.9%、80.9%。
⚫ 以旧换新政策加力扩围效果明显,消费品制造业家用电力器具专用配件、家用厨房电器具、非电力家用器具等行业利润分别增长17.2%、17.1%、15.1%。


结合上市公司最新一致盈利预测来看,预计6月工业企业盈利增速较高或有改善的行业集中在有色、钢铁、农副食品、TMT等领域。

2、前期表现、交易集中度和月度效应
前期表现:过去两个月整体跑输万得全A指数主要集中在:1)科技领域的半导体、消费电子、计算机设备、软件开发、通信服务等;2)制造业领域,光伏设备、工程机械、通用设备、电网设备、电池、自动化设备、光伏设备等。多数消费医药领域如化学制药、饮料乳品、美容护理、调味品、商贸零售、纺织服饰等板块跑赢万得全A。

交易集中度:近期市场成交情况分化明显,从不同行业换手率历史分位数和成交额占比来看,美容护理、饮料乳品、化学制药、电网设备、纺织服饰、汽车零部件、通用设备等相对拥挤,而房地产、石油石化、酒店餐饮、航空机场、造纸等领域交易占比相对较低。

日历效应:
由于每年例如业绩预告、两会、政治局会议、业绩考核等等具有季节性效应,每个月的行业有一定的季节性,也可以作为行业选择的参考。每年6月,相对较高概率出现超额收益的行业主要集中在部分消费服务和成长领域,如家用电器、汽车、食品饮料、社会服务、电子、计算机、通信等。

3、5月行业景气度总览及细分领域变化
5月份景气较高的领域主要集中在部分中游制造、消费服务和信息技术领域,其中资源品板块贵金属价格持续上涨,中游制造领域汽车产销稳健增长,消费服务板块空冰洗彩零售额四周滚动均值同比上行,金融地产中商品房销售累计同比降幅扩大,公用事业燃气价格下行。

⚫ 上游资源品:水泥价格下行,工业金属价格普遍下跌
5月份南华工业品价格月环比下行2.74%。钢材方面,5月钢材成交量环比下行,重点企业粗钢日均产量下行。钢坯价格、螺纹钢价格均下行,港口铁矿石库存、唐山钢坯库存、主要钢材品种库存均下行。煤炭方面,5月秦皇岛港山西优混平仓价、京唐港山西主焦煤库提价均下行,焦煤期货价格、焦炭期货价格均下行,天津港焦炭库存、秦皇岛港煤炭库存、京唐港炼焦煤库存均下行。
5月全国水泥价格指数下行,长江、华北、华东、西北、西南、中南地区水泥价格指数均下行,东北地区水泥价格指数上行;玻璃期货价格下行。

5月国际原油价格上行,化工产品价格指数上行。截至5月29日,5月Brent原油现货价格月环比上行0.53%,WTI原油现货价格月环比上行0.86%。截至5月29日,5月化工产品价格指数月环比上行1.17%。无机化工品期货价格普遍下跌,有机化工品涨跌分化,其中二乙二醇、聚合MDI、苯乙烯、PTA等价格涨幅居前,甲醇、苯酐价格下跌。
5月工业金属价格多数下跌,库存多数下行。铜、铝价格环比上行,锌、锡、钴、镍、铅价格环比下行;铜、铝、锌、镍库存下行,铅、锡库存上行。贵金属方面,黄金期现价格、白银期现价格均上行。小金属方面,锑价格下行,稀土价格上行。

⚫ 中游制造业: 4月汽车产销三个月滚动同比增幅扩大,3月主要企业工程机械销售当月同比增幅多数收窄
2025年4月汽车产量同比增幅收窄、销量同比增幅扩大,三个月滚动同比增幅扩大。根据中国汽车工业协会数据,4月份,汽车产销分别完成261.8万辆和259.0万辆,环比分别下降12.87%和11.16%,产量同比增幅收窄至8.9%,销量同比增幅扩大至9.8%,三个月滚动同比增幅分别扩大至20.13%、17.48%。1-4月份累计汽车产销分别完成1017.50万辆和1006.00万辆,同比分别上涨12.9%和10.8%。

3月主要企业工程机械销售当月同比增幅多数收窄。主要企业装载机销量同比增幅收窄22.1个百分点至14.5%,三个月滚动同比增幅扩大4.49个百分点至18.44%;主要企业叉车销量增幅收窄37.6个百分点至11.5%,三个月滚动同比增幅收窄0.07个百分点至15.07%;主要企业压路机销量同比增幅收窄13.9个百分点至15.5%,三个月滚动同比增幅收窄0.53个百分点至23.13%;主要企业汽车起重机销量同比由正转负至-17.4%(前值11.9%),三个月滚动同比跌幅扩大7.58个百分点至-9.0%。

⚫ 消费服务:4月社会消费品零售总额同比增幅收窄,5月空冰洗彩零售额四周滚动均值同比上行
4月社会消费品零售总额37174亿元,同比增幅收窄0.8个百分点至5.10%。4月全国居民消费价格指数(CPI)同比与3月持平为-0.1%,食品类CPI同比降幅缩小1.2个百分点至-0.2%。
5月主产区生鲜乳价格与上月持平,白酒批发价格总指数下行,名酒批发价格总指数下行。猪肉批发价、生猪均价均下行,仔猪均价上行,自繁自养生猪养殖利润、外购仔猪养殖利润均下行。肉鸡苗平均价格下行,全国鸡肉市场价下行。玉米期货价格、棉花期货价格均下行,寿光蔬菜价格指数上行。

5月票房收入、观影人次、电影上映场次周均值月环比均上行。
5月中国轻纺城日均成交量下行30.06%,盛泽丝绸指数下行0.009%。5月空冰洗彩零售额四周滚动均值同比上行,6月空调、冰箱、洗衣机计划排产量环比均下行。
4月民航正班客座率为83.5%,当月环比上行1.44个百分点。4月上海港口集装箱吞吐量为450.06万TEU,当月同比增幅扩大至7.64%。

⚫ 信息技术: 4月集成电路出口金额同比增幅扩大,LCD 出货量三个月滚动同比增幅收窄
4月集成电路进、出口金额同比增幅扩大,当月贸易逆差扩大。4月集成电路出口金额为155.75亿美元,当月同比增幅扩大12.34个百分点至20.22%,累计同比增幅扩大2.7个百分点至13.50%,三个月滚动同比增幅扩大5.42个百分点至15.87%;4月集成电路进口金额为348.23亿美元,当月同比增幅扩大7.55个百分点至11.1%,累计同比增幅扩大2.2个百分点至5.4%,三个月滚动同比增幅扩大3.49个百分点至6.34%。当月贸易逆差环比增加15.81%至192.48亿美元。

5月液晶电视面板价格与上月持平,液晶显示器价格月环比上行。液晶电视面板方面,5月32寸液晶电视面板、43寸液晶电视面板、55寸液晶电视面板价格分别为39.00美元/片、65.00美元/片、130.00美元/片,同比分别下行2.50%、0.00%、4.41%,环比均持平。液晶显示器方面,5月23.8寸液晶显示器面板价格月环比上行0.45%至44.80美元/片,5月7寸平板电脑面板价格与上月持平为7.70美元/片。
4月LCD 出货量三个月滚动同比增幅收窄。4月份TV LCD 出货量为19.0百万个,月环比下行14.80%,同比降幅扩大至-10.38%,三个月滚动同比增幅收窄4.89个百分点至1.14%;NB LCD 出货量为32.6百万个,月环比下行 11.89%,同比增幅收窄至17.27%,三个月滚动同比增幅收窄 2.04个百分点至24.72%;LCD 显示器出货量为12.90 百万个,月环比下行 5.15%,同比增幅收窄至 0.78%,三个月滚动同比增幅扩大 2.63个百分点至 4.49%。

⚫ 金融地产:A股成交额下行,30大中城市商品房成交面积月环比上行
货币市场净投放;隔夜SHIBOR利率月环比下行,1周/2周SHIBOR利率月环比下行,6个月/1年期/3年期国债到期收益率月环比上行。截至5月30日,隔夜SHIBOR月环比下行29bp,1周/2周SHIBOR月环比下行15bp/4bp;汇率方面,美元兑人民币中间报价7.1848,月环比下行0.23%。债券收益率方面,6个月/1年期/3年期国债到期收益率较上月末分别上行1bp/3bp/2bp。
A股换手率、成交额下行。截至5月29日,上证A股换手率五日均值月环比下行0.07个百分点至0.80%;沪深两市日成交额五日均值月环比下行3.07%。

土地成交溢价率月环比上行,30大中城市商品房成交面积月环比上行。截至5月25日,100大中城市土地成交溢价率当周值月环比上行2.23个百分点,30大中城市商品房成交面积日均值为205.94万平方米,月环比上行19.46%。
1-4月份房屋新开工面积累计同比降幅收窄,房屋竣工面积累计同比降幅扩大;商品房销售额累计同比降幅扩大,商品房销售面积累计同比降幅收窄,房地产开发投资完成额累计同比降幅扩大,房地产开发资金来源累计同比降幅扩大。

⚫ 公用事业:我国天然气出厂价下行,全社会用电量同比增幅收窄
我国天然气出厂价下行,英国天然气期货结算价上行。截至5月29日,我国天然气出厂价报4,415.00元/吨,月环比下行2.28%;英国天然气期货结算价83.16便士/色姆,月环比上行7.85%。
4月我国全社会用电量同比增幅收窄,其中第一、三产业用电量同比增幅扩大,第二产业用电量同比增幅收窄。4月份我国全社会用电量7721亿千瓦时,当月同比上涨4.68%,前值6.96%;其中第一产业当月用电量110亿千瓦时,同比上行13.75%,增幅扩大3.85个百分点;第二产业当月用电量5285亿千瓦时,同比上行3.03%,增幅缩小0.72个百分点;第三产业当月用电量1390亿千瓦时,同比上行9.03%,增幅扩大0.65个百分点。

4、中观景气和行业推荐小结
盈利方面,4月工业企业盈利同比增幅扩大至3.0%,费用下行带来利润率边际改善。三个月滚动来看,大类板块盈利多数正增,资源品、TMT、必需消费、中游设备均有改善,细分领域中钢铁、农副食品、运输设备、TMT制造业等增速领先。结合上市公司最新一致盈利预测来看,预计6月企业盈利增速较高或有改善的行业集中在有色、钢铁、农副食品、TMT等领域。
景气方面,5月份景气较高的领域主要集中在部分中游制造、消费服务和信息技术领域,其中资源品板块贵金属价格持续上涨,中游制造领域汽车产销稳健增长,消费服务板块空冰洗彩零售额四周滚动均值同比上行,金融地产中商品房销售累计同比降幅扩大,公用事业燃气价格下行。
综合盈利、行业景气和交易等维度,6月份外部关税仍面临不确定性,对国内经济增长带来压力;有待更多政策端的支持实现内部的稳健增长,行业配置预计主要围绕国内自身发展阶段展开,重点传统产能出清、新消费崛起、以及行业景气度较高的领域布局,行业推荐重点关注:汽车、有色金属、国防军工、商贸零售、美容护理、化学制药等。

06
六、赛道及产业趋势投资
1、6月赛道和产业趋势重点关注
6月重点关注五大具备边际改善的赛道:AI应用、自主可控、新消费、贵金属、创新药。

从中长期角度,我们建议以周期为轴,供需为锚。关注新科技周期下,全社会智能化的进展(国内外大模型的持续迭代、算力基础设施与AI生态的完善、AI商业模式的落地、以及AI对消费电子、机器人、智能驾驶等赋能),国产替代周期下相关产业链的自主可控(国产大模型、国产AI应用与算力、国产集成电路产业链),以及“双碳”周期下碳中和全产业链的降本增效(光伏、风电、储能、氢能、核电),电动化智能化大趋势下电动智能汽车渗透率增加。
(1)未来一个月主题投资重要事件前瞻

(2)关键产业趋势与主题变化

2、赛道投资关注方向专题:谷歌AI生态全面升级,AI搜索与AI Ultra齐头并进
在5月21日谷歌举行的2025年度I/O开发者大会上,谷歌宣布了各领域多项突破。AI方面,推出AI全家桶——Google AI Ultra,整合谷歌目前最好的模型,帮助影视、金融、医疗等人员通过AI提升工作效率节省时间,此外,谷歌还发布了最新一代AI视频生成工具Veo 3、图像生成工具Imagen 4、整合至Gemini、Workspace等多个平台中的电影质感的视频创作工具Flow、音乐生成模型Lyria 2也开放给YouTube Shorts创作者与企业用户使用。AR方面,谷歌与中国AR眼镜企业XREAL合作发布眼镜产品,国内的相关产业链,立讯精密、龙旗科技等企业将提供相应支持。谷歌还宣布对其核心搜索业务进行重大调整,推出名为“AI Mode”的搜索新功能,将AI对话式回答整合进搜索结果页面,为用户提供不再依赖传统链接的互动式搜索体验,应对即将可能到来的有关搜索变革的挑战。

⚫ 对AI技术迭代加速,谷歌多领域突破
AI Ultra整合最强模型,高端订阅服务开启商业化新篇章。美东时间5月20日,谷歌在年度开发者大会Google I/O上宣布,公司将推出名为“Google AI Ultra”的高端人工智能订阅服务,月费高达249.99美元。此外,谷歌还发布了最新一代AI视频生成工具Veo 3,将率先提供给AI Ultra订阅用户以及企业级平台Vertex AI客户。据介绍,AI Ultra用户将享受谷歌最新发布的AI模型、功能实验性产品的抢先体验权,以及YouTube Premium订阅服务。此外,该计划还提供高达30TB的云存储空间,是目前谷歌所有AI付费服务中最高档的一项。

Google Labs及Gemini产品负责人Josh Woodward在会上表示:“这是为开拓者和先锋准备的,是你进入谷歌AI世界的VIP通行证。”他指出,AI Ultra将成为谷歌AI产品最重要的测试平台,也象征着其AI战略从“大众普及”向“高价值变现”的转型。
Google AI Ultra不仅整合了Gemini旗舰AI模型,还首度加入名为“DeepThink”的Gemini 2.5 Pro深度推理模式,专为研究、复杂任务处理等高阶使用场景而设计。同时,该服务还包含一系列生成式AI创新工具,如最新发布的视频生成器Veo 3、影片创作工具Flow,以及文本生成播客内容的Notebook LM工具,其使用上限也达到当前最高标准。这些生成式AI工具的密集发布显示出谷歌在视觉、音频、文本生成领域的全面发力,也显示出其希望借助Ultra计划聚拢前沿用户,提升AI产品使用粘性与市场话语权。
Veo 3对标Sora,视频生成迈入音画同步时代。Veo 3是一款可生成同步音视频内容的AI工具,支持角色对话、动物声音等多类型音频合成,在视频生成精度、画面与声音同步性以及物理真实感表现方面均有重大突破。据谷歌DeepMind产品副总裁Eli Collins介绍,Veo 3将率先面向AI Ultra用户及企业版Vertex AI平台开放使用,直接对标OpenAI今年发布的视频生成工具Sora。

谷歌将推出AI模式搜索,力抗新兴竞争对手。除了订阅服务和新AI工具,谷歌还宣布对其核心搜索业务进行重大调整,推出名为“AI Mode”的搜索新功能,将AI对话式回答整合进搜索结果页面,为用户提供不再依赖传统链接的互动式搜索体验。这一转型背后,是谷歌面临来自OpenAI ChatGPT、Perplexity等AI聊天机器人对信息搜索习惯的持续侵蚀。用户越来越多地通过对话获取答案,而非浏览多个网页链接。作为全球搜索市场占有率高达90%的巨头,谷歌若无法成功应对这种转变,可能面临广告收入大幅下滑的风险。

谷歌首席执行官Sundar Pichai表示:“生成式AI的兴起并非以牺牲在线搜索为代价的,这不是一个零和博弈的时刻。”眼下越来越多的用户使用AI对话获取想要的信息和知识,若常规搜索模式不从底层上变革,将面临直接的取代风险,他还表示,相信OpenAI、Perplexity和Anthropic在内的AI搜索服务提供商最终将取代谷歌等传统搜索引擎,可以说传统搜索引擎因受AI模式侵蚀,已经是迫在眉睫。
⚫ AR生态迎来“安卓时刻”,XREAL联手谷歌定义未来
在当地5月21日举行的全球开发者大会谷歌I/O 上,谷歌宣布将与中国AR眼镜企业XREAL合作,发布新一代AR眼镜——Project Aura。作为全球首款专为Android XR平台打造的旗舰级AR眼镜,Project Aura基于OST(Optical See through,光学透视)技术路线,宣告AR正式迎来“安卓时刻”。此次联合发布,谷歌将在操作系统与XR生态提供平台支持,由XREAL提供轻量化AR眼镜硬件,并将搭载高通Snapdragon® XR芯片。

Project Aura发布,Android XR开发生态正式起航。谷歌、XREAL与高通向全球开发者发出邀请,欢迎共同探索基于OST形态的内容创新与场景突破。据悉,Project Aura的更多技术参数与上市信息将在2025年6月Augmented World Expo(AWE)展会发布。安卓XR是谷歌与三星、高通一起开发的平台,三星的Project Moohan是第一款安卓XR设备,并将在今年晚些时候开放购买。

IDC中国研究总监潘雪菲称,对于AR眼镜来说,除了AI能力之外,由于产品核心落在显示功能上,因此对于显示能力、算力、佩戴舒适度这三方的协同要求更高,厂商在成本的把控上也面临更多的压力,产品定价相对较高。目前AR眼镜深耕细分的应用场景,输出独特的价值,未来在供应链更加成熟、成本进一步下探后有望升级为消费级的眼镜“完全体”。
供应链全面受益,立讯精密、龙旗科技抢占AI眼镜赛道。今年2月,龙旗科技、晶盛机电、XREAL与鲲游光电已签署《AI/AR产业链战略合作协议》,瞄准2027年AI眼镜赛点,将冲刺L4高阶智能眼镜。XREAL创始人兼CEO徐驰表示,“AI是下一代的人机交互,AI眼镜是下一代的计算终端和数据入口。2025年只是L2级AI眼镜的元年,L4高阶级别的AI眼镜会在2027年到来,2027年才是AI/AR眼镜真正的赛点。”此外,领益智造方面表示,为XREAL的长期战略伙伴,承接了其AirAR眼镜的整机组装、注塑结构件和声学件制造。
07
七、政策端:5月重要政策梳理
5月重要政策梳理:据不完全统计,5月重要政策约138个。具体来看,1)总量政策方面,促消费政策密集发布,围绕新型消费、养老消费、服务消费等领域。2)资本市场方面,金融支持科技创新政策频发,5月7日,国务院新闻办公室举行新闻发布会,表示将发布新修订的上市公司重大资产重组的监管措施,同时大力发展科技创新债,发布《推动公募基金高质量发展行动方案》推动中长期资金入市。3)产业政策方面,5月整治内卷及新质生产力政策持续发布。
1、总量政策
总量政策方面,5月促消费政策密集发布。具体来看,5月8日,商务部党组书记、部长王文涛部长《旗帜》刊文《大力提振消费全方位扩大国内需求 推动经济持续回升向好》。其中提出,培育新型消费,着力增强消费动能;积极推进首发经济;加快发展数字、绿色、健康消费;促进“人工智能+消费”“IP+消费”,培育一批人工智能消费品牌。5月9日,市场监管总局会同国家发展改革委、工业和信息化部、商务部、文化和旅游部全面推进优化消费环境三年行动,开展消费供给提质、消费秩序优化、消费维权 【下载黑猫投诉客户端】提效、消费环境共治、消费环境引领五大行动。5月9日,中国人民银行印发《关于设立服务消费与养老再贷款有关事宜的通知》,设立服务消费与养老再贷款,激励引导金融机构加大对住宿餐饮、文体娱乐、教育等服务消费重点领域和养老产业的金融支持。地方上,5月以来,广东省、辽宁省、山西省、福建省、上海市、成都市陆续推出促消费政策。

2、资本市场
资本市场方面,5月主要围绕5月7日国新办新闻发布会公布的相关措施展开:5月7日,国务院新闻办公室举行新闻发布会,请中国人民银行行长潘功胜、金融监管总局局长李云泽、中国证监会主席吴清介绍“一揽子金融政策支持稳市场稳预期”有关情况,其中中国证监会表示将择机发布深化科创板创业板改革措施,并抓紧发布新修订的上市公司重大资产重组的监管措施,同时大力发展科技创新债,发布《推动公募基金高质量发展行动方案》推动中长期资金入市,增强对于受关税政策影响较大的上市公司在股权质押再融资,募集资金使用等方面的包容度,创造条件支持优质中概股回归A股或港股。


3、产业政策
产业政策方面,5月整治内卷再出新进展,市场监管总局和国家发改委重磅发声,立破并举整治行业内卷式竞争。5月19日,市场监管总局推出十项措施整治“内卷式”竞争,主要从监管惩处、信用手段赋能、制定相关标准及加快产业转型升级等方面入手。5月20日,国家发改委新闻发言人李超表示,针对目前内卷式竞争的问题,会进行标本兼治化解重点产业结构性矛盾。一是坚持创新引领,加快产业转型升级。增加高端产能、优质供给,不断开拓多元化市场,增强发展韧性。二是加强地方约束,加力破除地方保护和市场分割。今年1月印发的《全国统一大市场建设指引(试行)》,要求各地区不得突破国家规定的红线底线违规实施财政、税费、价格、土地、资源环境等方面的招商引资优惠政策,并针对地方保护和市场分割屡禁不止、花样翻新等情况,集中力量开展攻坚整治。三是优化产业布局,遏制落后产能无序扩张。以市场化方式促进兼并重组,加快淘汰炼油、钢铁等行业低效落后产能;科学论证煤化工、氧化铝等行业新增产能项目,防止盲目新建;加强行业自律,引导新能源汽车、光伏企业注重技术研发。四是强化市场监管,净化市场竞争生态。重拳整治劣质低价等市场乱象,依法查处不正当竞争和价格违法行为。5月27日,国务院反垄断反不正当竞争委员会专家咨询组全体会议召开,强调要紧扣加快构建全国统一大市场、综合整治“内卷式”竞争。

08
八、附录
估值
⚫ 整体情况
今年五月末万得全A指数绝对估值水平为14.93X(处于2010年以来48.0%分位),相比四月末上行0.31x。
今年五月末非金融及两油万得全A绝对估值水平为21.49X(处于2010年以来47.2%分位),相比四月末上行0.36x。

⚫ 板块变化
今年五月末创业板指绝对估值水平为27.3X(处于2010年以来6.7%分位),相比四月末上行0.9x。
今年五月末北证50指数绝对估值水平为47.7X(处于历史以来99.3%分位),相比四月末上行2.4x。

今年五月末大盘指数绝对估值水平为11.4X(处于2010年以来50.9%分位),相比四月末上行0.24x。
今年五月末中盘指数绝对估值水平为19.1X(处于2010年以来26.9%分位),相比四月末上行0.31x。

今年五月末小盘指数绝对估值水平为22.9X(处于2010年以来35.9%分位),相比四月末上行0.2x。
今年五月末沪深300指数绝对估值水平为11.8X(处于2010年以来49.4%分位),相比四月末上行0.2x。

今年五月末中证500指数绝对估值水平为21.4X(处于2010年以来35.0%分位),相比四月末上行0.3X 。
今年五月末中证1000指数绝对估值水平为25.7X(处于2010年以来43.2%分位),相比四月末上行0.3X。

⚫ 行业变化

分行业来看,国防军工、计算机、电子、美容护理、社会服务的估值水平高于其他行业,银行、建筑装饰、石油石化、煤炭、非银金融估值水平较低,其中银行的估值水平处于末位。

⚫全球对比
与世界其他主要股市相比,全部A股的估值处于中等偏上水平。










发表评论
2025-06-03 03:51:23回复
2025-06-03 03:19:23回复
2025-06-03 04:34:37回复